ヤンマーテクニカルレビュー

作業空間の快適性向上(トラクタ振動予測)

2016年1月27日

Abstract

It is important to predict noise and vibration for the comfort of tractor driver.
In this study, we are focus on the tractor vibration of on-road running.
First, the phenomena of the vibration is investigated, it is influenced by the tire natural modes. Next, a tire is modeled by rigid ring, which could adopt roughness of road surface and lug excitation.
The dynamic characteristics of tire were measured by tire drum test machine, which was made by National Institute of Technology, Ube Collage.
The tire rigid ring model was used to calculate the excitation force from the tire lugs.
We confirmed the model can calculate the phenomena about the influence of tire natural modes.

1.はじめに

トラクタ作業空間の快適性向上を目指し、振動・騒音の低減に継続的に取組んでいる。特に舗装路上での移動速度は増加傾向にあり、走行振動に対する現象解明と予測技術の構築が期待されている。

本報告では、振動発生のメカニズムを示し、振動予測のためのタイヤのモデル化について記載する。

2.走行振動

2.1.振動の表現

振動を表現する物理量として、振幅(大きさ)と位相(基準に対する遅れ)と周波数(1秒間に発生する繰返し回数)がある。また、振動を決定付ける要因として、入力(起振力)と伝わり方(伝達系)がある。

伝達系において重要なのは、固有振動数である。全ての物体には、振動し易い周波数(固有振動数)が存在し、この周波数の入力が存在すると、共振状態に陥り大きな振動が発生する。

2.2.トラクタの走行振動

図1に走行速度を徐々に上げて行った際のトラクタの振動計測結果を示す。振動は中速域で一旦増加し、その後減少した後、再度増加する。即ち、走行速度に比例的して増加する状況には無い。

振動波形の周波数分析結果コンター図を図2に示す。縦軸が走行速度、横軸が周波数、色が振動の大小を示す。低周波数域の特定の周波数に、複数の走行速度において振動が増減する傾向がある。これは路面凹凸などの入力により、タイヤがバネ、車体が質量となって振動する、所謂バネ質点系の固有振動数に起因する振動である。また、左下から右上に向けて、斜め方向に振動が大きくなる傾向がある。これは走行速度の増加に伴う起振周波数の増加を意味しており、後輪タイヤラグの周波数、前輪タイヤラグの周波数、後輪タイヤラグの2倍の周波数(2次成分)、の順に並ぶ。

トラクタ用のタイヤは自動車と異なり、土壌上での牽引力を発揮させるため、図3に示す大きなラグを有す。このラグと路面の接触により、起振力が生ずる。 走行速度をv(km/h)、タイヤ直径をd(m)、1本のタイヤのラグ本数をL(本)とすると、タイヤと路面の接触により生ずる起振力の周波数(1次成分)は次式となる。

ここで、代表的な数値として、L=15本、d=1.2mを代入すると、(Hz)となり、走行速度(km/h)がほぼラグの起振周波数(Hz)に一致する、と捉えれば、感覚的に現象を理解し易い。

図2のタイヤラグ起振周波数において、中速域で振動が大きくなっており、何らかの共振が影響していると予想できる。

Tractor Vibration while run-up
図1 Tractor Vibration while run-up
Map of Spectra (Vibration)
図2 Map of Spectra (Vibration)
Tractor Tire
図3 Tractor Tire

車軸入力に対する周波数分析結果を図4に示す。この場合も振動と同様に起振力の増減が確認できる。即ち、ラグと路面の接触に起因する入力が発生し、この入力が車軸に伝達するまでにこれが増減する。

路面と車軸の間にはタイヤが存在し、このタイヤの固有振動に起因する共振現象により、車軸に大きな起振力が発生する。

Map of Spectra (Force)
図4 Map of Spectra (Force)

2.3.タイヤの固有モード

FEM解析により求めたタイヤの固有振動モードの一例を図5に示す。トラクタ用のタイヤは、自動車用タイヤに比較して重く、大きく、ゴム部分のボリュームが大きいため、比較的低周波数から多数の振動モードを有する。この振動モードの影響で車軸入力に増減が生ずる。

固有モードを予測し応答を算出する事で、振動予測は可能となる。しかしタイヤは内部構造が複雑で、各種物性値の把握が難しい。そこで、トラクタの振動予測には、対象を限定した、より簡易的なモデル構築とそのモデルに適合する入力の同定が必要となる。但し、図5に示す様に、タイヤには低周波数域で多数の振動モードが存在する事から、少なくとも3方向からの入力を想定する必要がある。

Example of Tire Natural Modes
図5 Example of Tire Natural Modes

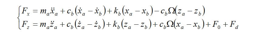
3.剛体リングモデルによる入力同定

簡易モデルであり、車体をバネ質点系で表現可能であり、複数軸からの入力に対応可能なモデル化の第一段階として、Hans B. Pacejka の提唱する剛体円環モデルを参考に図6のモデルを作成する。このモデルではホイル中心に作用する軸力と路面との接触点に作用するラグ起振力を考慮できる。但し、路面との接触点における入力は上下と前後の2軸方向に限定され、左右方向入力は考慮できない。

Rigid Ring Model
図6 Rigid Ring Model

剛体リングモデルの運動方程式を次式に示す。

ラグ部分に作用する入力は次式となる。

記号は以下を意味する。

:ホイル変位
:回転速度
:軸力
:タイヤリム変位
:ラグ起振力
:ホイル質量
:タイヤリング質量
:サイドウォール減衰係数
:サイドウォール剛性
:予荷重(静荷重)
:動荷重

は、第4章に示す試験装置で計測する。は実測し、は予荷重を与えた際の変位から求める。は過去論文を参考に値を推定する。予荷重は回転試験前の押し付け力であり、動荷重は、回転に因る静荷重の補正値である。

タイヤラグ起振力に因る変動成分を、4次成分まで考慮し、次式で表す。

は、ラグ起振周波数の次成分であり、の17個の未知数を同定する事で、ラグに作用する入力が算出できる。この同定には、以下に示す、残差平方和を最小化する最小二乗法を用いる。

車軸荷重の計測結果と算出結果から、次式による残差平方和を求める。

誤差を最小化するための偏微分方程式は以下となる。

上式から、17個の未知数に対する連立方程式が得られ、これを解く事でパラメータ同定が可能になる。

4.ドラム試験に基づく入力同定

剛体リングモデルを仮定する場合の起振力同定のため、図7に示すドラム試験(ドラム上でタイヤを回転させる)装置を製作した(宇部工業高等専門学校殿)。但し、トラクタ用の大径タイヤは扱い困難なため、同様のラグを有する管理機用の小径タイヤに対応する試験装置とした。

試験結果を元に同定したラグ起振力を図8に示す。起振力が大きくなっている部分はタイヤ固有値が影響しており、ラグによる起振力にタイヤ伝達系を加味する良好な同定結果を得た。

Drum Test Bed for Tire Excitation Force
図7 Drum Test Bed for Tire Excitation Force
Tire Lug Excitation Force
図8 Tire Lug Excitation Force

本モデルにより、路面との接触部に路面凹凸とラグ入力、2つの異なる入力を与える事が可能となり、振動予測精度の向上に期待できる。

5.おわりに

タイヤの固有モードが影響する事で、舗装路走行時のトラクタ振動が増減する事を明らかにした。

タイヤを剛体リングでモデル化し、固有モードの影響を含め、車軸への入力を算出可能な定式化を行った。

小径タイヤによる試験結果を元に、ラグと路面の接触点における入力同定を行った。

上記により、路面凹凸とラグという、2つの主要な入力に対応可能なタイヤモデルの構築を実現した。

今後は各種パラメータの同定精度の向上と、横方向の入力に対応可能なモデル化を進め、更なる振動予測精度の向上を図る事で、トラクタ作業空間の快適性向上に努める。

6.謝辞

山口大学大学院 理工学研究科 齊藤俊教授、宇部工業高等専門学校 機械工学科 藤田活秀教授の御協力を頂きまして、技術構築を行っています。この場をお借りしまして、感謝を申し上げます。

7.参考文献

  • (1)Hans B. Pacejka:"Tyre and Vehicle Dynamics, Second edition", Elsevier(2006)
  • (2)Zegelar, P.W.A.:"The dynamic response of tyres to break torque vibrations and road unevennesses", PhD thesis, Delft University of Technology(1998)
  • (3)佐口隆成:"タイヤ固有振動数に与える転動の影響について",自動車技術会シンポジウムテキスト, Paper-No.9840829, p.25-28(1998)
  • (4)福岡紀幸:"タイヤの振動特性について", 自動車技術, Vol.30-No.3, pp196-202(1976)
  • (5)J.A.Lines, K.Murphy:"The Radial Damping of Agricultural Tractor Tyres", Journal of Terramechanics, Vol.29-No.02, pp207-221(1992)
  • (6)A. Kising, H.Gohlich:Dynamic Eigenschaften von Traktor-Reifen", J. Agric. Engng. Res., 43, pp11-21(1989)
  • (7)タイヤ設計指針作成委員会編:"オフロードタイヤ工学-設計と性能予測の基礎-", テラメカニクス研究会, p221-222(1999)
  • (8)吉村信哉, 高山正博:"タイヤの振動特性と防振設計", 日本機械学会誌, 88-805, pp1383-1389(1985)
  • (9)藤田活秀,齊藤俊,金子貢:"タイヤラグ特性を考慮した農業用タイヤのパラメータ同定",日本機械学会論文集(C編),Vol.73,No.733,pp.2479-2484(2007)
  • (10)藤田活秀,齊藤俊,金子貢:"農用タイヤの転動時の動的特性に関する研究(走行条件の改善)",日本機械学会論文集,Vol.80,No.812(2014)
  • (11)藤田活秀,齊藤俊,金子貢:"農業用タイヤの振動特性が回転時の挙動に及ぼす影響",農業機械学会誌,Vol.37,No.1,pp.4550(2011)
  • (12)藤田活秀,齊藤俊,金子貢:"農用タイヤの転動時の動的特性に関する研究",自動車技術会2015年春季大会学術講演会講演予稿集,No.40-15, pp964-968(2015)

著者

研究開発ユニット 中央研究所

金子 貢

販売拠点 お問い合わせ よくあるご質問