ヤンマーパワーテクノロジー株式会社
技術生産本部 開発部
ヤンマーテクニカルレビュー
エンジン冷却ファンシステムの振れ回り振動解析
~多様なエンジン搭載設計への対応技術~
Abstract
This paper describes a whirl vibration analysis method for cooling fan systems for application to various engine installation designs. The coupled vibration of the blade system and shaft system was formulated using a four-degree-of-freedom model, and a method was developed to quickly evaluate critical speed. Additionally, dynamic behavior is simulated using Multi body dynamics, enabling detailed design optimization of support structures. Experimental validation confirms the accuracy of the proposed method, its effectiveness.
1. はじめに
当社の産業用エンジンは、多種多様な産業機械の要求品質やエンジンルームのレイアウトに対応するためにカスタマイズ設計がおこなわれる。エンジン開発と車体開発において手戻りのない製品開発を目指すためには、設計初期段階で設計の方向性を判断することが重要である。冷却ファンシステムもカスタマイズ対象の一つであり、冷却ファンの種類、冷却ファンの位置、クランク軸回転に対する回転速度比などをカスタマイズする。また、近年ではクラッチ付の冷却ファンやリバーシブルファン(1)の使用が増加しており、冷却ファンの質量は増加傾向にある。質量増加による冷却ファンシステムの固有振動数の低下は、エンジンの起振力との共振の危険性を高め、耐久性に影響を与える。したがって、採用する冷却ファン毎に支持剛性やオーバーハング量を適切に設計する必要がある。
本稿では設計段階に応じて解析の役割を二段階に区別し、カスタマイズ設計の効率化を図る評価手法について紹介する。評価手法を初期評価と詳細評価の二段階とし、初期評価では、翼系と軸系の連成固有振動数を4自由度モデルにより解析し、危険回転速度を迅速に把握する。初期評価で危険回転速度が確認された場合、機構解析を用いて冷却ファンの動的挙動を予測し、支持部の詳細形状の検討をおこなう。これにより、設計期間の短縮と試作・検証コストの低減を図りつつ、要求仕様を満たす設計を効率的に実現することができる。
2. 評価手法
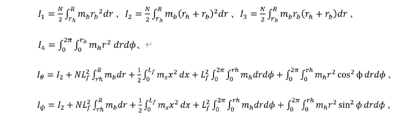
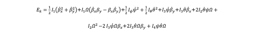
2.1. 4自由度モデルによる評価
冷却ファンシステムを図1に示す4自由度モデルで表現し、翼系と軸系の連成固有振動数を求める(2)。運動エネルギー
は、次式で表すことができる。
ここで、
、
は、軸の傾き角度、
、
は、基準座標系における翼の角度、
は、ファンの角速度である。
また、慣性モーメント
、
、
、
、
、
は、次式となる。
ここで、
:翼の数
、
、
:軸、ハブ、翼1枚の質量
、
:翼径、ハブ径
:ハブから翼上の任意の位置までの距離
:ハブの中心からハブの任意の点までの距離である。
:オーバーハング量
である。
ポテンシャルエネルギー
は、
となる。
、
、
は、軸および翼の支持剛性である。
ラグラジアン
は、
となり、ラグランジュの運動方程式を導くと、
となる。このラグランジュ方程式を展開すると以下の運動方程式を導くことができる。
これらの運動方程式より、固有角振動数
についての4次方程式を導くことができる。
上式を解析的に解くことにより、静止座標系での固有角振動数
を求めることができる。固有角振動数
は、ジャイロ効果により前向き、後向きの固有角振動数が存在し、冷却ファンの回転速度によって固有振動数が変化する。また、翼系および軸系、それぞれに対する前向き、後向きの四つの固有角振動数が現れる。
2.2. 機構解析モデルと実験装置概略
図2に構築した機構解析モデルの概略を示す。回転部とブラケットは、弾性体とした。機構解析では、回転部とブラケット間の軸受部を非線形バネとダッシュポットで定義した。軸受部の非線形バネの特性は、軸受に負荷される荷重とコロ幅,玉径や転動体の数等の軸受の仕様により決定される(3)。ブラケットは,シリンダブロックを想定した剛体ブロックと接続した。剛体ブロックは、上下方向の並進運動のみを可能とし、回転部に強制回転を与えながら4気筒機関の上下の振動を想定し強制加速度を与えた。なお、回転部に発生するジャイロ効果は、機構解析モデルで考慮されている。
図3に解析モデルの精度を確認するための実験装置の概略を示す。電磁加振器に冷却ファンシステムを搭載し、4気筒エンジンの上下の振動を模擬するため上下方向に加振した。 同時にVベルトとモータを用いて冷却ファンを駆動した。共振点を把握するためにブラケットには、ひずみゲージを接着している。冷却ファンの回転速度を一定回転に保持しながら一定加速度で周波数掃引加振をおこなった。周波数掃引加振時のひずみゲージの出力から共振を確認し、振れ回り振動の固有振動数を求めた。また、高速度カメラを用いて、共振点における軸心変位を冷却ファンの前面から観察した。
3. 評価手法の検証結果
3.1. 危険回転速度の予測結果
4自由度モデルで算出した固有振動数と加振試験で得られた固有振動数の比較結果を図4に示す。図4中の曲線は、前節に記載した式に翼および軸の質量特性、取り付け部の剛性を代入し、固有振動数を算出したものである。固有振動数が正の値の場合は、前向きの振れ回りであり、負の値の場合は、後向きの振れ回りである。実験において、四つの共振点が確認された。これは、前向きの振れ回り、後向きの振れ回り、それぞれに対する翼系、軸系の振動モードである。4自由度モデルで算出された固有振動数は、実験結果と同様の傾向を示し、固有振動数の予測誤差は、6%以内であった。図中の赤線は、クランクシャフトと冷却ファンの回転速度が等速の場合の4気筒エンジンの上下の起振力の周波数成分(回転2次)を示す。起振力周波数と固有振動数の交点が危険回転速度(共振点)となる。
初期評価で共振点が認められた場合、オーバーハング量や支持部のベアリング仕様の変更などにより危険回転速度の回避を検討する。しかしながら、設計上の制約で共振を回避できない場合は、機構解析による詳細評価へ移行する。
3.2. 機構解析の予測結果と形状改善結果
図5は、高速度カメラで計測した軸心変位と機構解析で算出した軸心変位を比較した結果である。実験結果70 Hzおよび解析結果67 Hzの軸心変位は、冷却ファンの回転方向と逆方向(後ろ向き振れ回り)になり、実験結果107 Hzおよび解析結果102 Hzの共振では冷却ファンの回転方向と同方向(前向き振れ回り)になる。実験結果と予測結果の軸心挙動は楕円となり、両者はよく一致している。
図6は、ブラケット部のひずみゲージの出力と機構解析による予測結果を比較したものである。実験結果、予測結果ともに75 Hzおよび98 Hz付近でひずみの振幅が増大し、両者はよく一致している。ブラケットの形状を変更した場合のブラケットに発生するひずみの予測結果を図7に示す。リブ部のひずみの低減を狙いリブのRを5 mmから8 mm、リブ幅を現状より2 ㎜増加させた。形状変更により、共振回転速度は変化しないが共振点でのひずみは、75 Hzで46 % 97 Hzで43 %低下した。これは、形状変更により固有振動数は変化していないが、対象部位の局所的な剛性が変化し、ひずみが減少したこと示す。以上より、機構解析を用いて、システムの構成部品の詳細形状の検討が可能であると言える。
(c)解析/後向き振れ回り、(d)解析/前向き振れ回り
4. おわりに
エンジンの冷却ファンシステムの耐振動性の机上評価手法を構築し、実測と解析を比較することにより評価手法の妥当性を示した。多種多様な機械へ搭載するためのカスタマイズ設計においては、今回紹介した技術以外にもエンジン開発と車体開発のすり合わせ技術が求められる。今後も最適なエンジンを提供できるように技術向上に取り組んでいきます。
本稿は、(一社)農業食料工学会の了承を得て、農業食料工学会誌 82 巻・5 号、p.489-496 の一部を修正して転記したものである。
参考文献
- (1)Bennett, S., 2012.Medium/Heavy Duty Truck Engines, Fuel & Computerized Management Systems 4th Edition. Delmar Pub, New York,207-208.
- (2)Cecrdle, J.,2015. Whirl Flutter of Turboprop Aircraft Structures. Woodhead Publishing, Cambridge, 125-132.
- (3)松下修己,田中正人,小林正生,小池正生,神吉博,2012.続 回転機械の振動.コロナ社,東京,82-86
著者
